ΣΧΕΤΙΚΑ ΑΡΘΡΑ
Η Seanergy Maritime Holdings Corp. («Seanergy» ή «Εταιρεία») (NASDAQ: SHIP), γνωστοποίησε σήμερα τα οικονομικά της αποτελέσματα για το τρίτο τρίμηνο και εννεάμηνο του 2023. Η Εταιρεία ανακοίνωσε επίσης τη διανομή τριμηνιαίου μερίσματος ύψους 0,025 δολαρίων ανά μετοχή για το τρίτο τρίμηνο του 2023.
Κατά το τρίτο τρίμηνο του 2023, ο καθαρός κύκλος εργασιών της Εταιρείας ανήλθε στα 24,5 εκατ. δολάρια έναντι 34,0 εκατ. δολαρίων το τρίτο τρίμηνο του 2022. Το προσαρμοσμένο EBITDA για το τρίμηνο ανήλθε σε 9,5 εκατ. δολάρια έναντι 19,0 εκατ. δολαρίων για την ίδια περίοδο του 2022.
Οι καθαρές ζημίες και οι προσαρμοσμένες καθαρές ζημίες για το τρίμηνο ήταν 5,0 εκατ. και 2,6 εκατ. δολάρια, αντίστοιχα, σε σύγκριση με τα καθαρά κέρδη ύψους 7,1 εκατ. δολαρίων και τα προσαρμοσμένα καθαρά κέρδη ύψους 7,6 εκατ. δολαρίων το τρίτο τρίμηνο του 2022.
To ημερήσιο ισοδύναμο χρονοναύλωσης («TCE») του στόλου για το τρίτο τρίμηνο του 2023 ήταν 15.298 δολάρια, σε σύγκριση με τα 20.614 δολάρια την ίδια περίοδο του 2022.
Για το εννεάμηνο του 2023, η Εταιρεία πραγματοποίησε καθαρά έσοδα ύψους 70,8 εκατ. δολαρίων σε σύγκριση με τα 96,5 εκατ. δολάρια την ίδια περίοδο του 2022.
Το προσαρμοσμένο EBITDA για το εννεάμηνο ήταν 29.1 εκατ. δολάρια, σε σύγκριση με τα 53,3 εκατ. δολάρια για την ίδια περίοδο του 2022.
Οι καθαρές ζημίες και τα προσαρμοσμένα καθαρά κέρδη για το εννεάμηνο ήταν 8,5 εκατ. δολάρια και 0,5 εκατ. δολάρια αντίστοιχα, σε σύγκριση με τα καθαρά κέρδη ύψους 16,7 εκατ. δολαρίων και προσαρμοσμένα καθαρά κέρδη ύψους 22,4 εκατ. δολαρίων την αντίστοιχη περίοδο του 2022.
Το ημερήσιο TCE του στόλου για το πρώτο εξάμηνο του 2023 ήταν 14.935 δολάρια, σε σύγκριση με τα 20.996 δολάρια την αντίστοιχη περίοδο του 2022.
Τα ταμειακά διαθέσιμα, στις 30 Σεπτεμβρίου του 2023, ανέρχονταν σε 22,0 εκατ. δολάρια.
Τα ίδια κεφάλαια στο τέλος του τρίτου τριμήνου ήταν 217,8 εκατ. δολάρια.
Οι χρηματοοικονομικές υποχρεώσεις ανέρχονταν σε 223,3 εκατ. δολάρια στις 30 Σεπτεμβρίου 2023, ενώ η αξία του στόλου ανήλθε στα 416,5 εκατ. δολάρια.

Ο κ. Σταμάτης Τσαντάνης, Πρόεδρος και Διευθύνων Σύμβουλος της Εταιρείας, δήλωσε:
«Είμαστε στην ευχάριστη θέση να ανακοινώσουμε ότι για το τρίτο τρίμηνο του 2023, η Seanergy κατέγραφε ημερήσιο TCE ύψους 15.298 δολαρίων, ξεπερνώντας για άλλη μια φορά το δείκτη Baltic Capesize Index κατά περίπου 14%.
Ενώ εμείς επιτυγχάνουμε σταθερά υπεραποδόσεις έναντι του δείκτη BCI, η Capesize αγορά δεν ανταποκρίθηκε στις προσδοκίες μας, με τον δείκτη να ανέρχεται κατά μέσο όρο στα 13.400 δολάρια, σηματοδοτώντας την χαμηλότερη απόδοση των τελευταίων επτά ετών για το εν λόγω τρίμηνο.
Λαμβάνοντας υπόψη την ευρωστία του ισολογισμού μας και παραμένοντας συνεπείς στις δεσμεύσεις προς τους μετόχους μας, προχωράμε στη διανομή ενός ακόμη τριμηνιαίου μερίσματος ύψους $0,025 ανά μετοχή.
Έχοντας κλειδώσει το 30% των ημερών του τέταρτου τριμήνου του 2023 σε ημερήσιους ναύλους άνω των 20.000 δολαρίων και λαμβάνοντας υπόψη την ισχυρή ανάκαμψη της αγοράς Capesize τον Οκτώβριο καθώς και τις ενθαρρυντικές προοπτικές του κλάδου, παραμένουμε αισιόδοξοι για τις οικονομικές μας επιδόσεις στο τρέχον τρίμηνο.
Κατά τους πρώτους εννέα μήνες του 2023, πετύχαμε TCE ύψους 14.935 δολαρίων, σε σύγκριση με τη μέση ημερήσια τιμή του δείκτη BCI που ανερχόταν στα 12.640 δολάρια, καταγράφοντας υπεραπόδοση της τάξεως του 18%.
Ο δείκτης BCI, μειώθηκε, κατά 24% σε σύγκριση με την ίδια περίοδο του προηγούμενου έτους. Η στρατηγική αντιστάθμισης κινδύνου της ναυλαγοράς που εφαρμόζουμε έχει μετριάσει τις επιπτώσεις της μεταβλητότητας της αγοράς ξηρού χύδην φορτίου στα αποτελέσματά μας.
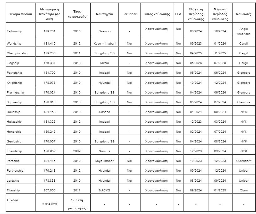
Περνώντας σε άλλες εξελίξεις, στις 24 Οκτωβρίου 2023, παραλάβαμε ένα Newcastlemax πλοίο κατασκευής του 2011. Το πλοίο μετονομάστηκε Titanship και είναι χρονοναυλωμένο με διεθνούς φήμη ναυλωτή σε ναύλο συνδεδεμένο με τον δείκτη BCI.
Η σημαντική προσαύξηση στο ναύλο του εν λόγω πλοίου έναντι του δείκτη, που είναι η υψηλότερη από οποιοδήποτε άλλο πλοίο του στόλου μας μέχρι σήμερα, θα ενισχύσει περαιτέρω τις εμπορικές μας επιδόσεις τους επόμενους μήνες.
Θεωρούμε δε, ότι η ανταγωνιστική τιμή κτήσης, καθώς και η περιορισμένη αρχική κεφαλαιακή δαπάνη, θα μεταφραστούν σε υψηλές κεφαλαιακές αποδόσεις για τους μετόχους μας.
Σχετικά με την αγορά Capesize, από την αρχή του έτους έχουμε δει σημαντικές αυξήσεις στη ζήτηση σε τόνο-μίλια για τις κύριες πρώτες ύλες σιδηρομεταλλεύματος, άνθρακα και βωξίτη που κυμαίνονται από 3% έως 8%, έναντι μιας αύξησης περίπου 2% στο μέγεθος του στόλου.
Παρόλα αυτά, η αγορά δεν απέδωσε σύμφωνα με τις προσδοκίες μας κατά τους πρώτους εννέα μήνες του 2023.
Όπως αναφέρθηκε και στα προηγούμενα οικονομικά μας αποτελέσματα, η ιστορικά χαμηλή συμφόρηση των λιμένων και η βελτιωμένη αποτελεσματικότητα του Capesize στόλου αύξησαν την πραγματική προσφορά πλοίων, ασκώντας πίεση στις τιμές των ναύλων.
Κοιτάζοντας μπροστά, θεωρούμε ότι τα χαμηλά αποθέματα πρώτων υλών στην Κίνα, καθώς και η σημαντική αύξηση της ζήτησης είναι ιδιαίτερα ενθαρρυντικά.
Επιπλέον, οι ιστορικά χαμηλές παραγγελίες νεότευκτων πλοίων Capesize, σε συνδυασμό με τους επικείμενους περιβαλλοντικούς κανονισμούς, θα περιορίσουν σημαντικά την πραγματική προσφορά πλοίων.
Ως εκ τούτου, παραμένω αισιόδοξος τόσο για τις μεσοπρόθεσμες όσο και για τις μακροπρόθεσμες προοπτικές της αγοράς.
Πιστεύουμε ακράδαντα ότι η ανθεκτικότητα της Seanergy κάτω από οποιεσδήποτε συνθήκες της ναυλαγοράς έχει πλέον αποδειχθεί πέραν αμφιβολίας.
Αυτό σε συνδυασμό με την χρηματοοικονομική μας ευρωστία και την αποτελεσματική στρατηγική διαχείρισης κινδύνου, μας τοποθετεί βέλτιστα ώστε να επωφεληθούμε από τα καλύτερα θεμελιώδη μεγέθη της αγοράς Capesize των τελευταίων τριών δεκαετιών.»
Σχετικά με την Seanergy Maritime Holdings Corp.
Η Seanergy Maritime Holdings Corp. είναι η μοναδική εταιρεία εισηγμένη στο Αμερικανικό χρηματιστήριο που διαχειρίζεται αποκλειστικά στόλο πλοίων τύπου Capesize.
Η Seanergy παρέχει υπηρεσίες θαλάσσιας μεταφοράς χύδην ξηρού φορτίου μέσω ενός σύγχρονου στόλου πλοίων Capesize.
Ο στόλος της Εταιρείας αποτελείται από 17 πλοία (1 Newcastlemax και 16 Capesize), με συνολική μεταφορική ικανότητα που ανέρχεται στους 3.054.820 dwt και με μέση ηλικία στόλου τα 12,7 περίπου έτη.
Διαβάστε επίσης:
Νίκος Π. Τσάκος: Θα προτιμούσα λιγότερα κέρδη σε έναν ειρηνικό κόσμο με ελευθερία ναυσιπλοΐας
Με ισχυρή παρουσία ο ΟΛΠ στην 6η China International Import Expo 2023
ΕΙΔΗΣΕΙΣ ΣΗΜΕΡΑ
- Ιράν: Έφηβοι έως και 12 ετών θα μπορούν να ενταχθούν στους εθελοντές που περιπολούν στην Τεχεράνη
- ΔΝΤ: Εξετάζει σενάρια για το ποιες χώρες μπορεί να χρειαστούν βοήθεια λόγω του πολέμου
- Ισπανία: Μίνι ανασχηματισμός, ο υπουργός Οικονομικών αναλαμβάνει αντιπρόεδρος της κυβέρνησης
- Ισραήλ: Ένας νεκρός και 14 τραυματίες από ομοβροντία ρουκετών που εκτόξευσε η Χεζμπολάχ
Μοιραστείτε την άποψή σας
ΣχόλιαΓια να σχολιάσετε χρησιμοποιήστε ένα ψευδώνυμο. Παρακαλούμε σχολιάζετε με σεβασμό. Χρησιμοποιείτε κατανοητή γλώσσα και αποφύγετε διατυπώσεις που θα μπορούσαν να παρερμηνευτούν ή να θεωρηθούν προσβλητικές. Με την ανάρτηση σχολίου, συμφωνείτε να τηρείτε τους Όρους του ιστότοπου contact Δημιουργήστε το account σας εδώ, για να κάνετε like, dislike ή report ακατάλληλα/προσβλητικά σχόλια.